在通信系统中,通信信号通常从发射端经过多个路径到达接收端,导致接收到的通信符号之间相互干扰,这种干扰称为符号间干扰。接收端主要通过信道均衡技术来消除符号间干扰,因此信道均衡一直是通信领域研究的热点。理论上,最大后验(maximum a posteriori,MAP)均衡是最优的信道均衡算法,但其计算复杂度随信道长度增大呈指数倍增长,难以实际应用。考虑到复杂度与实用性,研究人员通常基于最小均方误差(minimum mean-squared error,MMSE)准则来设计对应的信道均衡算法,如线性MMSE均衡、判决反馈均衡等,但这些算法的均衡性能有限。
为了实现低复杂度下的最优均衡,中科院声学所海洋声学技术中心博士生李栋与其导师朱敏研究员、武岩波研究员,联合东南大学陶俊教授共同提出了一种Hadamard-Haar随机预编码(Hadamard-Haar Random Precoding,HHRP)方案,并在接收端通过向量近似消息传递(vector approximate message passing, VAMP)算法使均衡性能接近理论最优值。
相关研究成果2020年3月16日在线发表于通信领域国际学术期刊 IEEE Communications Letters 。
在HHRP 方案中,发射端由Hadamard-Haar混合变换、随机符号交织器以及快速傅里叶变换级联实现。HHRP使得接收端均衡模型中的信道矩阵满足右旋转不变性,这是VAMP实现贝叶斯最优估计的必要条件。同时,HHRP使符号序列在时域和频域获得了分集,更有利于符号检测。此外,Hadamard-Haar混合变换只需要通过加法运算就可以实现,基于HHRP-VAMP的自迭代均衡复杂度也由此降低为线性复杂度。
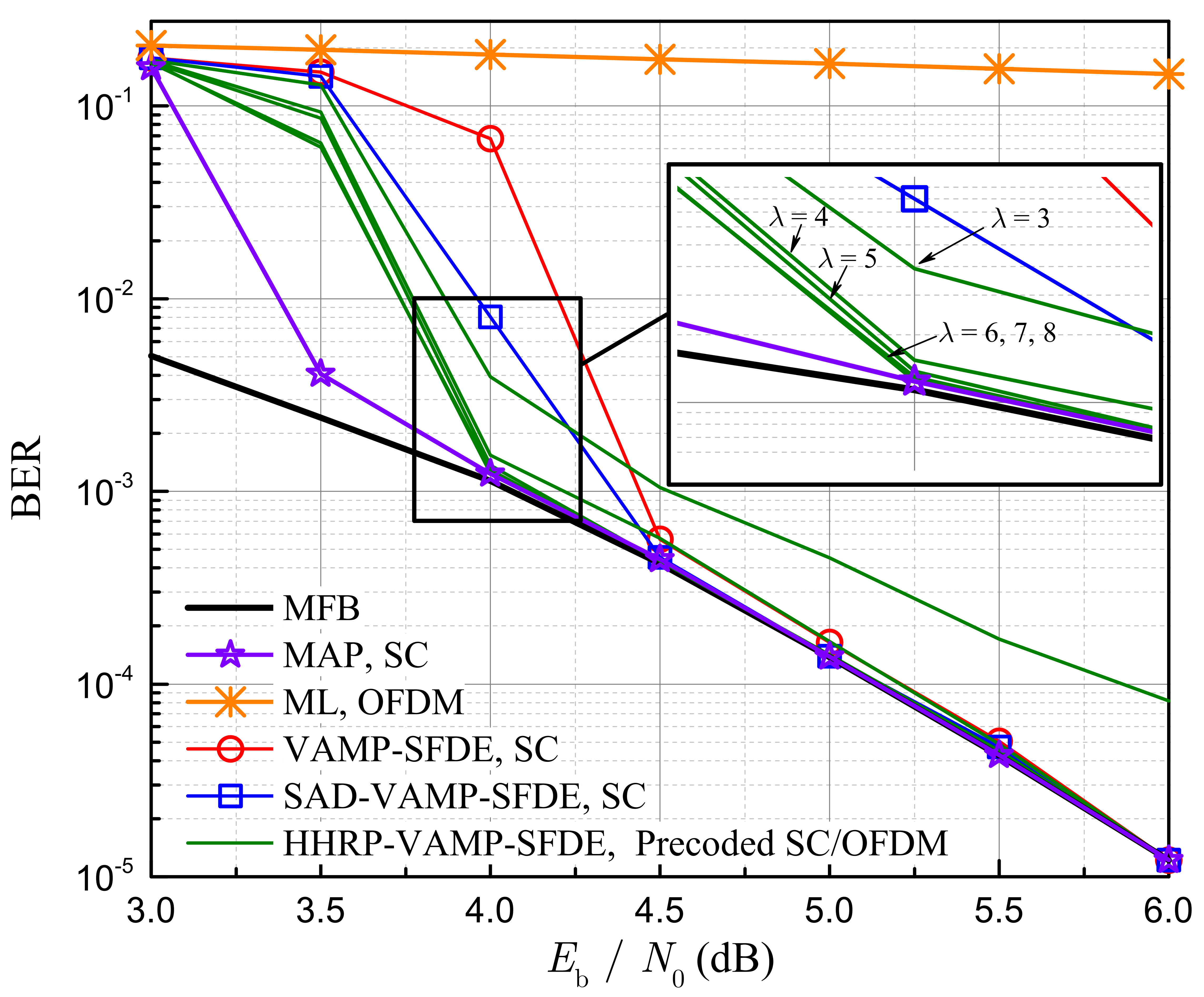
研究结果显示,在具有严重频率选择性的Proakis C信道下,HHRP-VAMP的均衡性能以及收敛性均接近于理论最优的MAP均衡,优于目前已有的各类VAMP均衡算法。

图1 基于HHRP的收发机系统框图(图/中科院声学所)


图2 基于HHRP-VAMP自迭代均衡的(左)误比特率性能曲线与(右)收敛性对比(图/中科院声学所)
本研究得到国家自然科学基金(No. 61971472, 61871114, 61471351)与国家重点研发计划(No. 2016YFC0300300)资助。
关键词:
Hadamard-Haar随机预编码;向量近似消息传递;频域自迭代均衡
参考文献:
LI Dong, WU Yanbo, TAO Jun, ZHU Min. Near-Optimal Self-Iterative VAMP Equalization enabled by Hadamard-Haar Random Precoding. IEEE Communications Letters. Mar. 2020. DOI: 10.1109/LCOMM.2020.2981073.
论文链接:

