在海拔20~100 km范围内的地球空间内,气压低(0.02~6000 Pa)、气温低(-80 °C~20 °C),声速剖面复杂;稀薄大气中的声频散(声速随频率变化)会严重影响声探测的结果。目前国内外尚无关于低温稀薄环境中声频散的系统研究。
为解决这一问题,中国科学院声学研究所超声学实验室博士生孙冠文与其导师林伟军研究员等人利用深空环境模拟容器对低温低压氮气中的声频散进行了理论和实验研究,首次揭示了低温对稀薄氮气中声频散的影响。
相关成果在线发表于学术期刊The Journal of American Society of Acoustics。
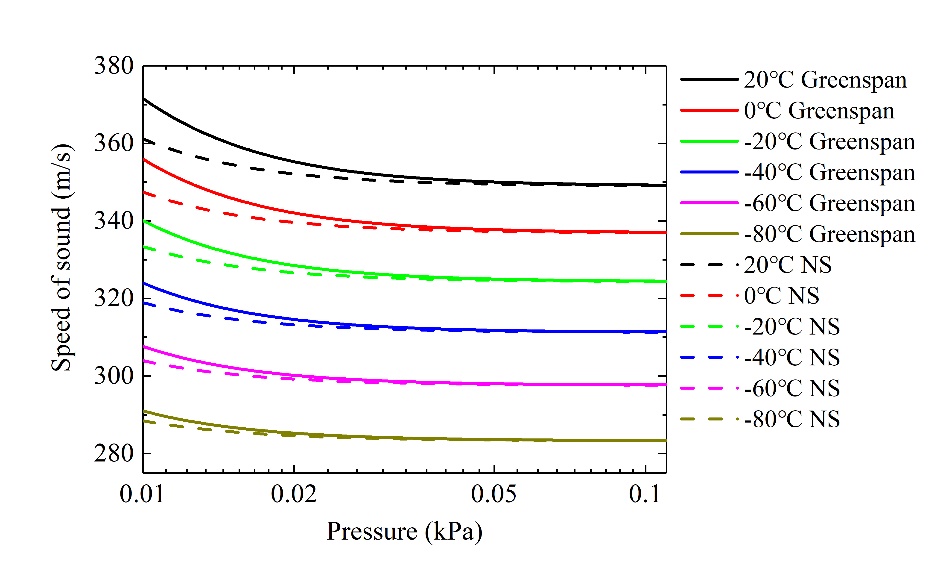
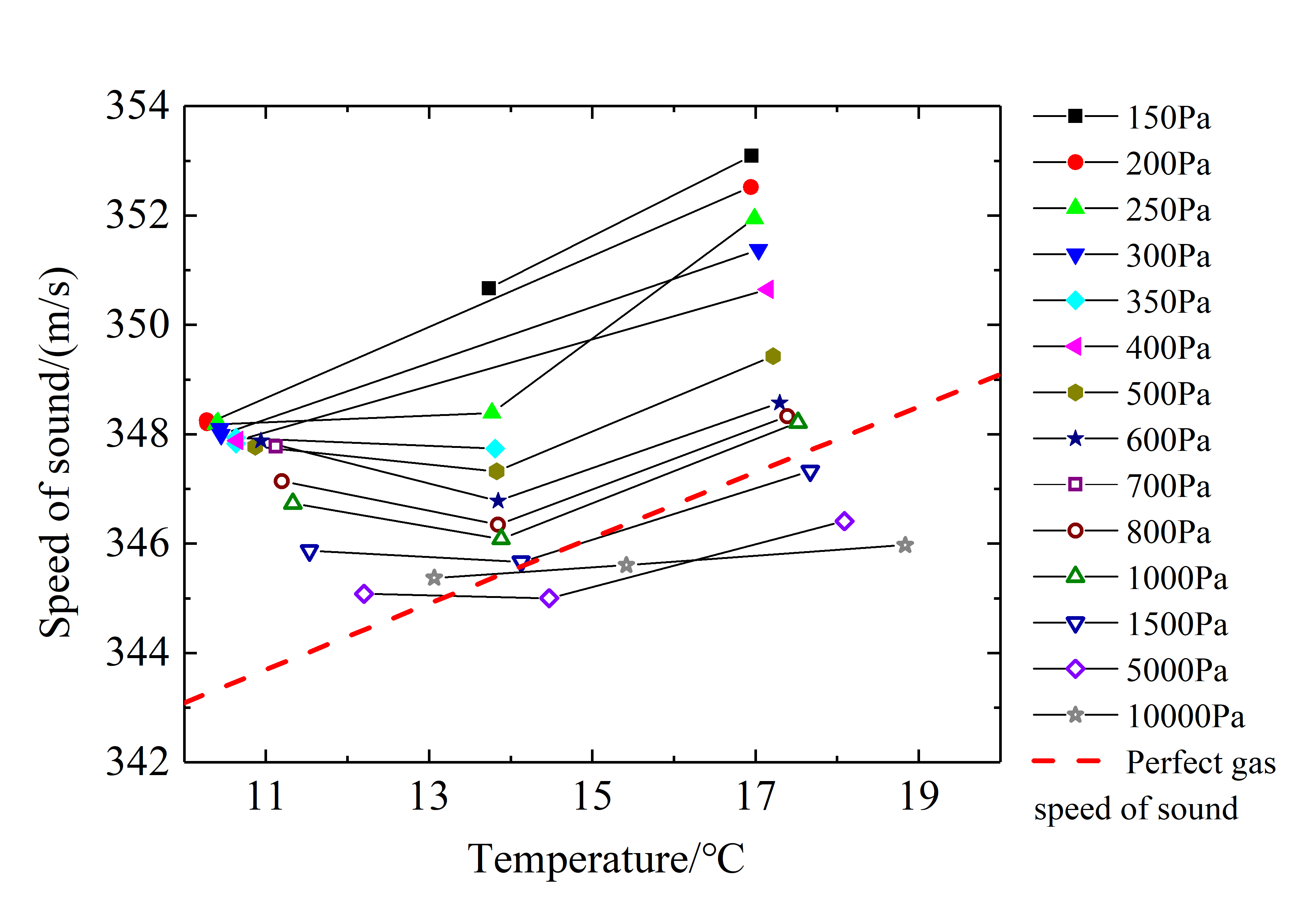
研究人员基于Navier-Stokes(NS)方程和等效热容理论计算了双原子氮气的平动自由度和转动自由度分别产生的声频散。基于深空环境模拟平台,利用先进的压控、温控和保温系统模拟临近空间大气,实验测量了不同气压和气温下的氮气声速,分析了气温与声频散的关系。
由理论模拟和实验数据可知,稀薄氮气的声速随着气压(气压和频率的比值)降低而升高;且气温越低、声频散越弱。实验测量的声频散数据可用于修正大气声速剖面,为临近空间声探测提供基本参数。
本研究得到国家自然科学基金(No.11874385)、中国科学院A类战略性先导科技专项(No.XDA17040505和XDA15011900)的资助。

图1 Navier-Stokes方程计算不同温度下氮气声速随气压变化曲线(图/中国科学院声学研究所)

图2 实验测量氮气声速随气压变化曲线(图/中国科学院声学研究所)
关键词:
临近空间;稀薄气体;声频散;声速测量
参考文献:
Guanwen Sun, Hanyin Cui, Chao Li, Weijun Lin, and Chang Su. Experimental and theoretical investigations of dispersion of ultrasonic waves in the low-temperature and low-pressure nitrogen gas. The Journal of the Acoustical Society of America, 153, 821-834 (2023). DOI: 10.1121/10.0017097
论文链接:

