自1960年世界上第一台泄漏噪声相关仪问世以来,泄漏噪声检测系统有了很大改进,目前,噪声相关仪已成为管网监测中必备的检测设备。其中基于泄漏噪声信号的相关检漏法在供水管道泄漏检测中应用得最为普遍。为维护管网安全运营,管道泄漏检测与定位新技术、新产品一直是国内外研究者关注的热点。
多数泄漏噪声相关仪研发商认为泄漏噪声信号的感知性能是决定漏点定位精度的关键因素之一。为揭示检测信号的振幅信息对漏点定位的影响规律,中科院噪声与振动重点实验室高艳研究员以及巴西圣保罗州立大学的Mike Brennan教授等科研人员共同开展了管道泄漏噪声信号振幅失真(削波或量化)对相关检漏法性能影响的理论、数值和实验研究。
相关研究成果近期在线发表于国际期刊Journal of Sound and Vibration。
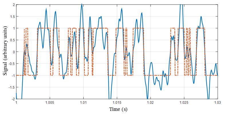
基于埋地供水管线泄漏所激发的管内声压和管壁振动的理论模型,研究人员引入SIGNUM函数对这两类检测信号进行削波/极性化处理,同时有效保留了信号中的过零点信息(图1);结合Van Vleck早期提出的削波信号理论和随机电报信号理论,建立理论模型并推导出削波信号的互相关函数(CCF)和互谱密度(CPSD)的解析解和近似解;阐明了振幅失真对相关检漏法性能的影响规律。

图1 实测泄漏噪声信号与削波信号(图/中科院声学所)
研究结果表明,当保留噪声信号的过零点信息时,即使发生严重振幅失真,也能得到准确的时延估计,从而实现漏点精准定位。如图2所示,分析PVC管道漏水检测的声压和加速度信号可见,削波对互相关系数影响微乎其微。

图2 实测泄漏噪声信号与削波信号的互谱、相位谱和互相关系数(图/中科院声学所)
该研究成果对泄漏噪声相关仪的研制具有重要指导意义,即自动增益控制电路以及多位AD转换器并非设计关键;当泄漏噪声不小于AD转换器的最小分辨电压时,即可实现准确的时延估计。
本研究受国家自然基金 (No. 11774378)以及FAPESP, SABESP资助。
关键词:
泄漏噪声;互相关函数(CCF);互谱密度(CPSD);削波;量化
参考文献:
M. J. Brennan, GAO Yan, P. C. Ayala, F. C. L. Almeida, P. F. Joseph, A. T. Paschoalini, Amplitude Distortion of Measured Leak Noise Signals caused by Instrumentation: Effects on Leak Detection in Water Pipes using the Cross-Correlation Method, Journal of Sound and Vibration (2019). DOI: 10.1016/j.jsv.2019.114905
论文链接:
https://doi.org/10.1016/j.jsv.2019.114905