有源人工干扰是声纳在实际工作中必然面对的重要挑战。有源人工干扰通常通过类噪声干扰(Noise-Like Jammers,NLJs)和相干干扰(Coherent Jammers,CJs)两种途径实现。其中,类噪声干扰装置通过增加接收机中的类噪声信号以掩盖目标;相干干扰装置通过发送与目标回波同载频、时延调制波形有差异的相干信号以达到欺骗声纳或雷达接收机的效果。
以往研究曾提出匹配滤波器(Matching Filter,MF)、旁瓣消隐、旁瓣对消等抗干扰方法从信号处理层面对有源人工干扰进行检测与抑制。但这些方法只能对抗一种特定干扰,且对辅助数据的利用率不高,综合性能亟待提升。
针对这一现状,中科院水下航行器信息技术重点实验室郝程鹏团队与意大利同行开展合作研究,提出双辅助数据自适应匹配滤波方法(improved double-trained adaptive matched filter,IDT-AMF)和迭代最小化稀疏学习方法(sparse learning via iterative minimization,SLIM),以抵抗来自天线旁瓣的NLJs和/或CJs攻击。
相关研究成果在线发表于国际学术期刊 IEEE Transactions on Aerospace and Electronic Systems 。
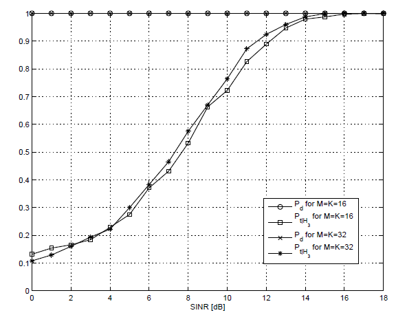
在本研究中,科研人员将两组辅助数据联合利用起来,结果显示,IDT-AMF方法比传统MF、DT-AMF具有更好的检测性能(图1);而SLIM方法则充分挖掘并利用了人工干扰的空域稀疏性,可实现对目标信号、NLJs和CJs的准确区分与有效抑制(图2~图4)。

图1 IDT-AMF方法的检测性能曲线(图/中科院声学所)

图2 SLIM方法的检测性能曲线(图/中科院声学所)

图3 SLIM方法的均方根 (root mean squared, RMS) 误差值曲线(图/中科院声学所)

图4 三种假设下SLIM方法的分类直方图(图/中科院声学所)
具有分类能力的SLIM方法还可用于旁瓣消隐器,提高其对旁瓣信号的抑制能力。在未来的研究中,可将所提出方法扩展应用到基于压缩感知方法的距离扩展目标探测中,有望提高接收机的抗干扰性能。
本研究得到国家自然科学基金(Nos. 61571434,61971412)资助。
关键词:
目标检测;类噪声干扰;相干干扰
参考文献:
YAN Linjie, Pia Addabbo, HAO Chengpeng, Danilo Orlando, Alfonso Farina. New ECCM Techniques Against Noise-like and/or Coherent Interferers. IEEE Transactions on Aerospace and Electronic Systems, vol. 56, no. 2, pp. 1172-1188, April 2020. DOI: 10.1109/TAES.2019.2929968.
论文链接:
https://ieeexplore.ieee.org/document/8781902