声学衍射栅在声波准直发射、聚焦和成像等方面具有重要作用,因此受到研究人员的广泛关注。研究人员针对由周期硬边界构成的声学衍射栅提出了波导态的模式分析方法,但是该方法不能求解介质阻抗差异较小的声栅衍射。
近期,中科院噪声与振动重点实验室的博士生杨玉真及其导师杨军研究员、贾晗研究员等人提出了声栅的严格耦合波分析方法,并用该方法分析了非硬边界的时空(parity-time, PT)对称声学衍射栅的衍射特性。
相关研究成果2020年7月在线发表于国际学术期刊 Journal of the Acoustical Society of America 。
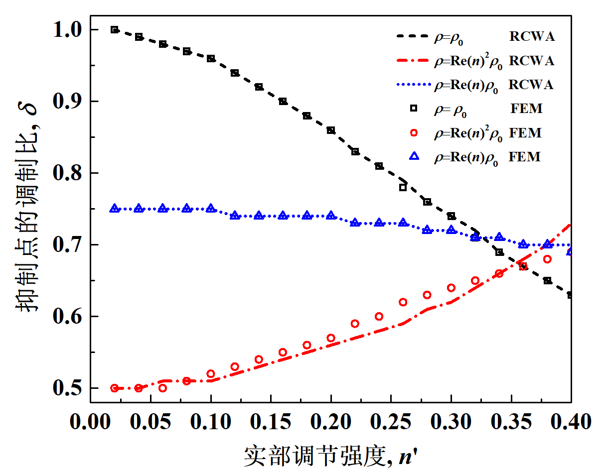
研究人员将各个区域的声压按照声栅的调制周期进行级数展开来求解衍射声场,并采用该方法分析了PT对称声学衍射栅的衍射特性(图1)。研究结果表明正入射时总衍射效率大于1,声栅内增益起主导作用(图2a);负入射时总衍射效率在+1阶衍射抑制点(DVP)前小于1,在抑制点后大于1。+1阶衍射束在δ=0.99处受到完全抑制,此时衍射效率为零(图2b)。在+1阶抑制点处,正入射的声能量主要集中在增益区域1和2(图2c),声栅内增益起主导作用;负入射的声能量均匀分布在增益区域1和2以及损耗区域3和4(图2d),此时声栅内增益和损耗达到平衡,总衍射效率为1。在模量、密度单独调节以及两者同时调节的情况下,+1阶抑制点的调制比随着实部折射率调节强度的变化趋势差异较大(图3)。
本研究提出的严格耦合波分析方法,可以快速有效地计算无硬边界的声栅衍射,系统地获取PT对称声学衍射栅的衍射特性。
本研究得到国家自然科学基金(No.11874387)等资助。

图1 声学衍射栅示意图(图/中科院声学所)

图2 (a)总衍射效率,(b)+1阶衍射效率,(c)正入射的声压分布,(d)负入射的声压分布(图/中科院声学所)

图3 不同调节方式下+1阶抑制点的调制比和实部折射率调节强度的变化关系(图/中科院声学所)
关键词:
严格耦合波分析;声学衍射栅;PT对称
参考文献:
YANG Yuzhen, JIA Han, YANG Jun. Study on asymmetric diffraction of acoustic parity-time-symmetric gratings using rigorous coupled-wave analysis. Journal of the Acoustical Society of America, 2020, 148(1), 33-43. DOI:10.1121/10.0001513.
论文链接:
https://asa.scitation.org/doi/10.1121/10.0001513