近年来,数字信号处理技术的快速发展使智能干扰系统成为一种有效的电子对抗技术,该技术通过产生与目标信号相干的多个干扰信号来破坏自适应阵列系统的目标检测及高分辨率方位估计能力,进而使声纳系统无法正常工作。而该类相干干扰带来的负面影响则可通过用于检测多重相干信号的自适应方法解决,因此如何设计此方法成为相关科研人员重点关注的问题。
针对这一需求,中科院水下航行器信息技术重点实验室郝程鹏研究员团队与国内及意大利同行开展合作研究,将多重相干信号的检测问题建模为一种多重假设检验,并结合模型阶数选择准则,提出三种新的自适应检测与分类方法,分别是AIC-D(Akaike Information Criterion-based Detector)、BIC-D(Bayesian Information Criterion-based Detector)、GIC-D(Generalized Information Criterion-based Detector)。这些方法在有效检测相干干扰信号的同时,还可以实现对干扰数量及其所在方位的准确估计。
相关研究成果2021年2月25日在线发表于国际学术期刊 IEEE Transactions on Signal Processing 。
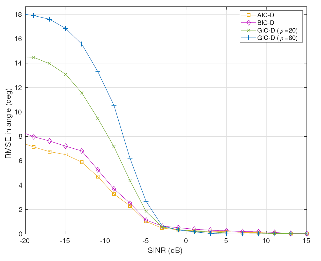
仿真分析结果表明,相较于广义似然比(Generalized Adaptive Subspace Detector, GASD)、广义匹配滤波器(Generalized Adaptive Matched Filter, GAMF)等传统方法,新方法具有更高的检测准确率。其中,GIC-D具有良好的估计相干干扰信号数量的能力,且干扰信号的方位估计精度随信干噪比的提升而明显提高。

图1 左图与右图分别为在一个和两个相干干扰信号存在情况下,三种新方法的检测概率曲线(图/中科院声学所)

图2 两个相干干扰信号存在情况下,三种新方法的分类概率直方图(图/中科院声学所)

图3 一个相干信号存在情况下,三种新方法的方位估计均方根误差曲线(图/中科院声学所)
下一步的研究拟针对空时处理架构,即考虑沿距离维度传播的相干信号,或对于同时存在相干和非相干信号的场景进行深入研究。
该项研究得到国家自然科学基金(No. 61971412, No.61701490)资助。
关键词:
相干信号;广义似然比检验;模型阶数选择准则;分类;智能干扰
参考文献:
HAN Sudan, YAN Linjie, ZHANG Yuxuan, Pia Addabbo, HAO Chengpeng, Danilo Orlando, Adaptive Radar Detection and Classification Algorithms for Multiple Coherent Signals, IEEE Transactions on Signal Processing, 2020, PP(99):1-1, DOI: 10.1109/TSP.2020.3047523
论文链接:
https://ieeexplore.ieee.org/document/9309189